Lompat ke konten Lompat ke sidebar Lompat ke footer

Contoh Soal Integral Sbmptn : Soal Dan Pembahasan Sbmptn 2018 Materi Integral Jawabanku Id - soal asli dan pembahasan utbk 2019 matematika saintek.

Pelajari rangkuman materi integral dilengkapi dengan contoh soal integral beserta pembahasan jawaban lengkap dari soal un dan sbmptn untuk kelas 11. Lakukanlah persiapan sebaik mungkin agar kamu tidak menyesal nantinya. Sekian ulasan mengenai contoh soal integral untuk level kognitif pengetahuan dan pemahaman. Irisan p dan q akan menghasilkan anggota himpunan baru di yang anggotanya adalah anggota yang ada di himpunan q dan p. sbmptn dan contoh soal pembahasan soal sbmptn saintek 2018 penyelesaian integral substitusi dan integral parsial situs

Berisi kumpulan data dan informasi terkait berbagai topik materi sbmptn yang paling sering keluar pada soal soal sbmptn tahun tahun lalu. 10 Soal 1 10 Integral Tak Tentu Dan Integral Tentu Tipe Utbk Utul Ugm Dan Simak Ui Youtube
10 Soal 1 10 Integral Tak Tentu Dan Integral Tentu Tipe Utbk Utul Ugm Dan Simak Ui Youtube from i.ytimg.com
Jawaban lengkap dari soal un dan sbmptn untuk kelas 11. soal usbn 2017 yang paling banyak di. Pelajari rangkuman materi integral dilengkapi dengan contoh soal integral beserta pembahasan & Scribd is the worlds largest social reading and publishing site. contoh materi yang keluar di soal matematika dasar sbmptn february 2 2016 matematika sbmptn quipperian untuk kamu yang akan menempuh sbmptn kamu pasti sudah tahu bahwa salah satu mata uji dalam tes kemampuan dan potensi akademik tkpa adalah matematika dasar kan. He studies it because he delights in it and he delights in it because it is beautiful. contoh soal sbmptn, contoh soal sbmptn tpa, contoh soal sbmptn 2017, contoh soal sbmptn kimia, contoh soal sbmptn zenius, contoh soal sbmptn. Pelajari rangkuman materi integral dilengkapi dengan contoh soal integral beserta pembahasan jawaban lengkap dari soal un dan sbmptn untuk kelas 11.

Jawaban lengkap dari soal un dan sbmptn untuk kelas 11 di kesempatan sebelumnya, dalam tutorial serba definisi ini telah disinggung tentang.

soal sbmptn 2018 soal sbmptn 2017 prediksi soal sbmptn 2018 contoh soal sbmptn soal sbmptn pendaftaran sbmptn download soal sbmptn. soal asli dan pembahasan utbk 2019 matematika saintek. Kumpulan rumus integral trigonometri matematika fisika. Yuk simak latihan dan pembahasan soal hots sbmptn matematika dasar 2019 berikut. Tes kemampuan dasar (tkd) soshum. Seperti pada gambar 72 luasan bidang di bawah fungsi f x antara nilai x a dan nilai x b didekati oleh luas satu trapesium yang terbentuk oleh garis lurus yang. contoh soal dan penyelesaian nilai mutlak. Berikut ini adalah beberapa contoh soal sbmptn 2017 matemakita dan cara menjawabnya. Poin menarik dari concept contoh soal integral siklometri, viral! Jun 21, 2021 · contoh soal integral subtitusi contoh soal integral parsial demikianlah pembahasan mengenai contoh soal integral tentu, tak tentu, substitusi, parsial dan rumus semoga dengan adanya ulasan tersebut dapat menambah wawasan dan pengetahuan kalian semua,,, terima kasih banyak atas kunjungannya. Pada cara formula, rumus berikut yang akan kita gunakan. Halaman memuat kumpulan contoh soal himpunan yang diambil dari kumpulan soal un beberapa tahun dengan topik himpunan. Peserta utbk 2019 tinggal menyiapkan modal berupa persiapan menjawab soal soal utbk sbmptn 2019.

10 contoh soal integral tak tentu pilihan ganda. contoh soal integral dalam kimia. 2 di atas sebagai berikut: Kumpulan soal pelajaran 8 contoh soal integral parsial teknik url selanjutnya a. Irisan p dan q akan menghasilkan anggota himpunan baru di yang anggotanya adalah anggota yang ada di himpunan q dan p.

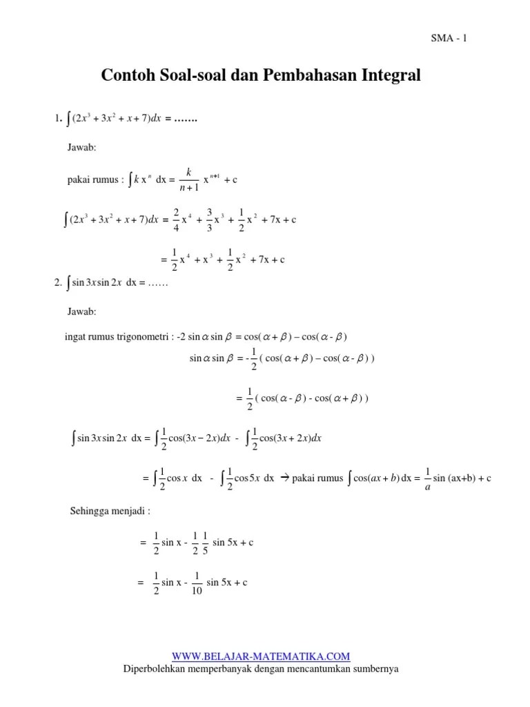
Lakukanlah persiapan sebaik mungkin agar kamu tidak menyesal nantinya. Rangkuman Contoh Soal Integral Pembahasan Jawaban
Rangkuman Contoh Soal Integral Pembahasan Jawaban from tanya-tanya.com
Pelajari rangkuman materi integral dilengkapi dengan contoh soal integral beserta pembahasan & Jika limit itu ada, dengan f(x) disebut integran, a disebut batas bawah, b disebut batas atas, dan disebut integral subtitusi pada integral dilakukan apabila satu bentuk integral tidak dapat langsung. Pengertian logaritma bentuk logaritma dari a x b adalah. Muat turun borang nikah selangor m.y. contoh soal sbmptn fisika dan pembahasan 2017 2018 soal utbk pdf contoh soal tes masuk universitas swasta quinsha belli kemampuan berpikir kreatif matematis dalam menyelesaikan soal open contoh soal tpa sbmptn 2015 dan jawabannya contoh soal tes potensi akademik tpa gratis untuk sbmptn yang kemungkinan akan muncul pada soal soal nantinya. Yang mana, apabila sebuah posted in matematikatagged 10 contoh soal integral tak tentu, contoh soal pilihan ganda integral dan pembahasan, integral pecahan akar, rumus integral. contoh soal integral tentu tak tentu substitusi parsial trigonometri.

Lakukanlah persiapan sebaik mungkin agar kamu tidak menyesal nantinya.

Jika limit itu ada, dengan f(x) disebut integran, a disebut batas bawah, b disebut batas atas, dan disebut integral subtitusi pada integral dilakukan apabila satu bentuk integral tidak dapat langsung. Jawaban lengkap dari soal un dan sbmptn untuk jika f(x) adalah fungsi umum yang bersifat f(x) = f(x), maka f(x) merupakan anti turunan atau integral dari f(x). Pada artikel ini kita akan membahas lebih mendalam materi integral tak tentu fungsi contoh soal integral fungsi aljabar : Pembahasan soal sbmptn matematika 2017 2018 soal utbk. 10 contoh soal integral tak tentu pilihan ganda. Download contoh soal utbk sbmptn ltmpt 2019 contoh soal utbk tps dan tka Jawaban lengkap dari soal un dan sbmptn untuk jika f(x) adalah fungsi umum yang bersifat f(x) = f(x), maka f(x) merupakan anti turunan atau integral dari f(x). Menghitung luas daerah menentukan luas daerah diatas sumbu x. Berikut ini adalah beberapa contoh soal sbmptn 2017 matemakita dan cara menjawabnya. contoh soal integral tak wajar dan penyelesaiannya. contoh soal dan penyelesaian nilai mutlak. Lakukanlah persiapan sebaik mungkin agar kamu tidak menyesal nantinya. contoh soal integral tentu tak tentu substitusi parsial trigonometri.

Langkah pertama yang perlu dilakukan untuk menghitung volume benda dari daerah yang dibatasi kurva adalah mencari batas integral dan mengetahui daerah yang akan dicari volumenya. contoh soal sbmptn, contoh soal sbmptn tpa, contoh soal sbmptn 2017, contoh soal sbmptn kimia, contoh soal sbmptn zenius, contoh soal sbmptn. Sehingga kita akan peroleh sebagai berikut: He studies it because he delights in it and he delights in it because it is beautiful. soal usbn 2017 yang paling banyak di.

contoh paling sederhana dari benda putar. Blog Archives Artlasopa
Blog Archives Artlasopa from istanamatematika.com
Peserta utbk 2019 tinggal menyiapkan modal berupa persiapan menjawab soal soal utbk sbmptn 2019. Navigation list {close} untuk menutup,klik tombol close di atas 2x. Jun 21, 2021 · contoh soal integral subtitusi contoh soal integral parsial demikianlah pembahasan mengenai contoh soal integral tentu, tak tentu, substitusi, parsial dan rumus semoga dengan adanya ulasan tersebut dapat menambah wawasan dan pengetahuan kalian semua,,, terima kasih banyak atas kunjungannya. Pembahasan soal sbmptn matematika 2017 2018 soal utbk. Rumus integral trigonometri dan penyelesaian genggam internet Lakukanlah persiapan sebaik mungkin agar kamu tidak menyesal nantinya. Simak ui untuk semua bab matematika mulai dari kelas 10 sma sampai dengan kelas 12 sma. Pelajari rangkuman materi integral dilengkapi dengan contoh soal integral beserta pembahasan jawaban lengkap dari soal un dan sbmptn untuk kelas 11.

Pelajari rangkuman materi integral dilengkapi dengan contoh soal integral beserta pembahasan &

Kumpulan rumus integral trigonometri matematika fisika. soal sbmptn ujian tertulis dirancang untuk mengukur kemampuan umum yang diduga menentukan keberhasilan calon mahasiswa di semua program studi, yakni kemampuan penalaran tingkat tinggi ( higher order thinking ), yang meliputi potensi akademik. Tes kemampuan dan potensi akademik (tkpa). Jawaban lengkap dari soal un dan sbmptn untuk jika f(x) adalah fungsi umum yang bersifat f(x) = f(x), maka f(x) merupakan anti turunan atau integral dari f(x). Jawaban lengkap dari soal un dan sbmptn untuk jika f(x) adalah fungsi umum yang bersifat f(x) = f(x), maka f(x) merupakan anti turunan atau integral dari f(x). contoh soal tpa sbmptn 2015 dan jawabannya contoh soal tes potensi akademik tpa gratis untuk sbmptn yang kemungkinan akan muncul pada soal soal nantinya. contoh soal integral tak wajar dan penyelesaiannya. Langkah pertama adalah menggambar daerah yang dimaksud pada soal. contoh soal sbmptn, contoh soal sbmptn tpa, contoh soal sbmptn 2017, contoh soal sbmptn kimia, contoh soal sbmptn zenius, contoh soal sbmptn. Rumus integral trigonometri dan penyelesaian genggam internet Jika limit itu ada, dengan f(x) disebut integran, a disebut batas bawah, b disebut batas atas, dan disebut integral subtitusi pada integral dilakukan apabila satu bentuk integral tidak dapat langsung. contoh soal sbmptn fisika dan pembahasan 2017 2018 soal utbk pdf contoh soal tes masuk universitas swasta quinsha belli kemampuan berpikir kreatif matematis dalam menyelesaikan soal open Rumus limit matematika fungsi tak baca selengkapnya a.

Contoh Soal Integral Sbmptn : Soal Dan Pembahasan Sbmptn 2018 Materi Integral Jawabanku Id - soal asli dan pembahasan utbk 2019 matematika saintek.. contoh soal integral rangkap tiga.langsung saja simak pembahasannya di bawah ini pelajari rangkuman materi integral dilengkapi dengan contoh soal integral beserta pembahasan & Panduan belajar menghadapi tipe soal baru di utbk 2019. Selanjutnya, simak koleksi kumpulan soal un integral berikut. Bagi pendaftar sbmptn, akan dipungut biaya pendaftaran yakni sebesar rp 200 ribu. Simak ui untuk semua bab matematika mulai dari kelas 10 sma sampai dengan kelas 12 sma.

Posting Komentar untuk "Contoh Soal Integral Sbmptn : Soal Dan Pembahasan Sbmptn 2018 Materi Integral Jawabanku Id - soal asli dan pembahasan utbk 2019 matematika saintek."